Asteroseismic masses of giant stars

By Huanyu Teng

Background

The mass of a planet is determined by the mass of its host star by using Kepler’s law. Accurate mass measurements on stars recover a true planet population. Among all types of stars, planets around intermediate-mass stars (1.5-3.0 M), which are ideal candidates to study the time scale of giant planet formation observationally, are less well-studied compared to solar-mass and low-mass stars. The East Asian Planet Search Network (EAPS-Net; Izumiura 2005) surveys totally more than 600 hundred giant stars initially considered to have intermediate masses and contributed about 40 planetary systems around these stars. Nonetheless, the mass determination of these stars was of low accuracy, especially in studies before 2018.

Traditionally, stellar masses are determined using spectroscopy and grid-based isochrones. However, evolutionary tracks of stars of different masses and metallicities strongly overlapped in the red-giant-branch (RGB) and Helium burning (HeB) phase. Thus, a large bias in mass measurements can be introduced, and consequently caused a biased planet population. In particular for the Okayama Planet Search Program (OPSP; Sato et al. 2005; the main branch of EAPS-Net), the mass measurements were judged to be probably overestimated by a factor of 2 (Takeda et al. 2015). Although the studies after that (e.g., Takarada et al. 2018; Teng et al. 2022a; Teng et al. 2022b) re-estimated the stellar masses with isochrones of fine grids, the error of the mass measurements was still as high as over 10 percent…

Asteroseismology can provide us with precise model-independent stellar masses. Currently, various high-quality data sets can be used for such study, e.g., photometry with Kepler and TESS, as well as high cadence radial velocities, e.g., SONG. Stello et al. (2017) found an overestimation of 15–20 percent in spectroscopic masses compared to the corresponding seismic masses. Malla2020 et al. (2022) found that stars above a mass threshold of 3 M had a significant mass offset, while those below the threshold did not. Thanks to the full-sky survey by TESS, we now have high-cadence time-resolved data for many more stars with spectroscopically-derived masses in EAPS-Net. So far, several studies were carried out to study the asteroseismic mass of evolved stars (subgiant and giant stars) with TESS (e.g., Malla et al. submitted). And thus, we propose to use TESS light curves to measure the asteroseismic-based masses of EAPS-Net stars.

Asteroseismic mass

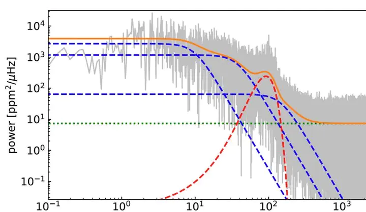
The asteroseismic mass can be estimated by the equation given in Sharma et al. 2016:

$$ \frac{M}{\rm {\it M}_\odot} \approx \left(\frac{\nu_{\rm max}}{f_{\nu_{\rm max}} \nu_{\rm max, \odot}}\right)^{3}\left(\frac{\Delta \nu}{f_{\Delta \nu} \Delta \nu_{\odot}}\right)^{-4}\left(\frac{T_{\rm eff}}{T_{\rm eff, \odot}}\right)^{1.5} $$ $$ \frac{R}{\it R_\odot} \approx \left(\frac{\nu_{\rm max}}{f_{\nu_{\rm max}} \nu_{\rm max, \odot}}\right)\left(\frac{\Delta \nu}{f_{\Delta \nu} \Delta \nu_{\odot}}\right)^{-2}\left(\frac{T_{\rm eff}}{T_{\rm eff, \odot}}\right)^{0.5} $$

where the global asteroseismic parameters $\nu_{\rm max}$ and $\Delta \nu$ are calculated from the power spectrum density fitting of TESS light curves (e.g. the figure), and $f_{\nu_{\rm max}}$ and $f_{\Delta \nu}$ are the correction factors obtained from asfgrid code.

In the following paper, we characterized two planet hosting giant stars using the asteroseismic methodology above:

“Two long-period giant planets around two giant stars: HD 112570 and HD 154391.”

Extended studies

We will try to perform precise asteroseismology for stars in TESS continuous viewing zone. We will also continue our planet discoveries based on EAPS-Net (OSPS and other branch programs), as well as refine planet masses and vet fake planets.

Huanyu Teng 滕环宇
Huanyu Teng 滕环宇
PhD of Earth and Planetary Sciences

I am now working on (1) measuring stellar obliquity of young planetary systems (2) planet searching around evolved stars and Late M dwarfs with radial velocity method.